オーキシン[auxin]

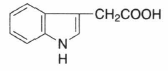
  植物ホルモンの一つ.植物に対する生理作用としては細胞伸長がよく知られており,特に,細胞壁を緩める作用は多くの植物種で知られている.植物体レベルでは,光や重力に対する屈性,頂芽優性,上偏成長,カルスからの根の誘導,果実の結実,単為結実,器官脱離など様々な生理活性が知られている.また,オーキシンは植物が傷害を受けた場所で蓄積し,切断された維管束周辺の柔細胞導管細胞に分化させることが知られている.オーキシン様活性物質は植物体での有無から,天然オーキシンと合成オーキシンに分類される.天然オーキシンとしてはインドール-3-酢酸(IAA)やインドール-3-酪酸(IBA)が,合成オーキシンでは2,4-ジクロロフェノキシ酢酸(2,4-D)と1-ナフタレン酢酸(NPA)がよく知られている.IAAは一般に茎頂から根端へ極性移動しており,この移動はオーキシン極性移動阻害剤によって阻害される.オーキシンの移動に関わる輸送タンパク質の遺伝子がクローン化されており,輸送タンパク質は流入担体(influx carrier protein)と流出担体(effluxcarrier protein)に分けられる.オーキシンはTIR1タンパク質という核に局在するF-ボックスタンパク質によって受容される.TIR1受容体はオーキシン存在下で,負の調節因子であるAux/IAA転写抑制因子のタンパク質分解を促進する.

auxin.png

関連項目


トップ   新規 一覧 検索 最終更新   ヘルプ   最終更新のRSS