ロドピナール
https://photosyn.jp/pwiki/?%E3%83%AD%E3%83%89%E3%83%94%E3%83%8A%E3%83%BC%E3%83%AB
[
トップ
] [
編集
|
凍結解除
|
差分
|
履歴
|
添付
|
リロード
] [
新規
|
一覧
|
検索
|
最終更新
|
ヘルプ
|
ログイン
]
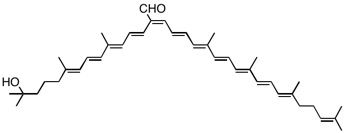
ロドピナール[rhodopinal]
†
カロテノイドの一種.一部の
紅色細菌
にみられ,
ロドピン
のメチル基がアルデヒド基に酸化したもの.立体障害のためシス型を取る.
↑
関連項目
†
カロテノイドの生合成
カロテノイド類の吸収スペクトル
最新の20件
2025-07-09
npq1
npq4
2025-07-03
NPQ
クロロフィル蛍光の非光化学的消光
2025-07-02
補色馴化
光化学系ⅡのΔpHによる効率低下制御
ステート遷移
BG-11培地
LHCSR
2025-03-22
蒸散速度
2025-03-21
オーキシン
2025-02-25
ycf4
ycf3
crr4
crr2
葉緑体呼吸
循環的光リン酸化反応
光化学系Ⅰ循環的電子伝達
フェレドキシン-キノンレダクターゼ(FQR)
2025-01-06
RecentDeleted
添付ファイル:
277 rhodopinal.jpg
2432件
[
詳細
]
Last-modified: 2020-05-12 (火) 04:43:37
Link:
カロテノイドの生合成
ロドピン
紅色細菌
カロテノイド類の吸収スペクトル