FAD

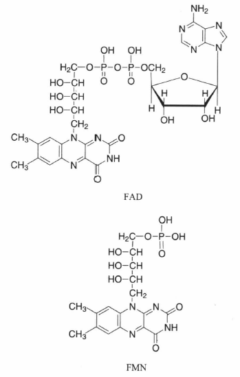
 FAD フラビンアデニンジヌクレオチド(flavin adenine dinucleotide)の略称. FMNはフラビンモノヌクレオチドの略称.ともにイソアロキサジン環にリビトールが結合したリボフラビン(ビタミンB2)を基本骨格とする.通常はフラビンタンパク質と高い親和性で非共有結合をして, FMNとともに生体の多くの酸化還元反応に関与している.光合成の電子伝達系では,還元型フェレドキシンNADP+との反応を触媒するフェレドキシン-NADP+オキシドレダクターゼ(FNR)の補欠分子族(FAD)として働いている.電子伝達体以外では,光回復酵素の光受容色素(FAD)として,さらに光情報伝達系では,胚軸伸張の抑制に関与するクリプトクロムや(FAD),光屈性葉緑体の光定位運動,気孔の開閉に関与するフォトトロピンの光受容色素(FMN)として機能している.

FAD.png

添付ファイル: fileFAD.png 4478件 [詳細]

トップ   編集 凍結解除 差分 履歴 添付 複製 名前変更 リロード   新規 一覧 検索 最終更新   ヘルプ   最終更新のRSS
Last-modified: 2020-05-12 (火) 04:43:16