NADP(H)

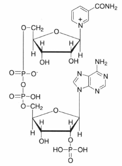
 NADP(H) NADの五炭糖(ペントース)に図のようにリン酸基が1つ付加した化合物.酸化還元反応は, NADP+ + 2e- + H+⇔NADPHである.NADと同様,生体の多くの酸化還元反応に関与している補酵素であるが,光合成における関与の主なものは,酸素発生型光合成生物の最終的な電子受容体として,還元型フェレドキシンからフェレドキシン-NADP+オキシドレダクターゼ(FNR)の触媒によって電子を受け取り還元される.NADPHは還元的ペントースリン酸回路によって酸化され二酸化炭素を還元する.また,C4経路NADP-リンゴ酸酵素による二酸化炭素還元系の補酵素として働く.さらに,葉緑体呼吸の基質としての機能,光化学系Ⅰの周りの循環的電子伝達およびそれに共役したCO2の輸送の関与が示されている.

NADP(H).png

添付ファイル: fileNADP(H).png 3540件 [詳細]

トップ   編集 凍結解除 差分 履歴 添付 複製 名前変更 リロード   新規 一覧 検索 最終更新   ヘルプ   最終更新のRSS
Last-modified: 2020-05-12 (火) 04:44:10