NAD(H)

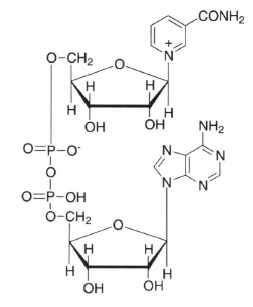
 NAD(H) ニコチンアミドアデニンジヌクレオチド(nicotinamide adenine dinucleotide)の略称.還元型ではHをつけて示す. NAD+ + 2e- + H+ ⇔NADHの反応で酸化還元反応を行うので,酸化型をNAD+で表すこともある.光合成に限らず生体の多くの酸化還元反応を仲介する補酵素であるが,光合成における関与は,光合成細菌光リン酸化によって生じたATPを利用した電子逆行によるNADの還元反応,C4回路NAD-リンゴ酸酵素による二酸化炭素固定である.さらに,葉緑体呼吸の基質としての機能や,光化学系Ⅰの周りの循環的電子伝達およびそれに共役したCO2の輸送にも関与している可能性が指摘されている.

NAD(H).png

添付ファイル: fileNAD(H).png 3562件 [詳細]

トップ   編集 凍結解除 差分 履歴 添付 複製 名前変更 リロード   新規 一覧 検索 最終更新   ヘルプ   最終更新のRSS
Last-modified: 2020-05-12 (火) 04:46:07