クロロフィルa[chlorophyll a]

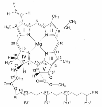
  代表的なクロロフィルの一つ. C55H72N4O5Mg,分子量893.49.融点117~120℃,[α])D20 =-262°(アセトン中).酸素発生型光合成生物(狭義の光合成細菌以外)の主なクロロフィル.明反応で機能する重要な色素で,光エネルギー捕集・伝達,光合成反応中心での電荷分離電子移動に関与.光化学系Ⅱの一次電子供与体P680はクロロフィルaの二量体.光化学系Ⅰヘリオバクテリアおよび緑色硫黄細菌の一次電子受容体.クロロフィルaの存在は1864にStokesが分光学的手法により提唱し, 1893年にSorbyが分液法により単離して青色クロロフィルと呼んだ. 1907年にTswettはクロマト吸着法により単離し,クロロフィリンαと命名.後にクロロフィルaと改名された.その構造はWillstätterら(1906-1913), F.G.Fischer (1928-1929)およびH.Fischerら(1928-1934)により決定された. 1960年にWoodwardらがクロロフィルaの全合成に成功した. Molischのphase test では黄色を呈する.光や酸素に対して不安定,固体は青黒色,有機溶媒中では濃青色を呈し,強く赤い蛍光を発する.有機溶媒中での吸収波長(分子吸光係数:M-1cm-1)は,ジエチルエーテル:429 nm (1.15×105), 661 nm (8.98×104),アセトン:431 nm (1.00×105), 663 nm (8.13×104),メタノール:433 nm (6.79×104), 666 nm(7.05×104). 蛍光波長(量子収率)は,ジエチルエーテル:666 nm (0.32),ベンゼン:670 nm(0.28).有機溶媒中での酸化還元電位(V vs.NHE)は,アセトニトリル:Ered=-1.04, Eox =+0.76, DMF : Ered=-0.92, Eox =+0.84.弱酸処理によってフェオフィチンaに,またアルカリ加水分解によりクロロフィリンaとなる.クロロフィラーゼによって加水分解されクロロフィリドaとなる.可逆的なエピマー化によりクロロフィルa'(クロロフィル,aエピマー)を生じる(有機溶媒中での平衡組成はa/a'≒3/1). P700はクロロフィルaとa'とから成るヘテロ二量体.

chlorophyll a.png

関連項目


添付ファイル: filechlorophyll a.png 13024件 [詳細]

トップ   編集 凍結解除 差分 履歴 添付 複製 名前変更 リロード   新規 一覧 検索 最終更新   ヘルプ   最終更新のRSS
Last-modified: 2020-05-12 (火) 04:44:54