ジガラクトシルジアシルグリセロール[digalactosyl diacylglycerol (DGDG)]

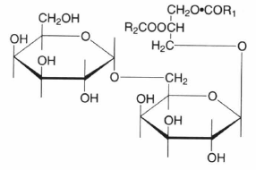
  シアノバクテリアや高等植物などの光合成生物に普遍的に存在する糖脂質の一種.ジアシルグリセロールのsn-3位にガラクトースが2個結合したもの.DGDGと略されることが多い.高等植物の葉緑体チラコイド膜シアノバクテリアでは全膜脂質の30%程度を占め,モノガラクトシルジアシルグリセロール(MGDG)に次いで含量の高い膜脂質である. MGDGと同様,葉緑体の機能に重要な役割を担う膜脂質であると考えられている.実際, DGDGの含量が1/10に低下したシロイヌナズナの変異体は著しい矮化を示し,チラコイド膜の形成にも異常をきたす. DGDGの合成について,高等植物ではMGDGを前駆体としてDGDGを合成するDGDG合成酵素DGD1,2の遺伝子(DGD1DGD2)が単離されており,これらの酵素はいずれも色素体(プラスチド)外包膜に局在すると考えられている. DGDGの合成にはMGDGが前駆体として用いられる. MGDGへの糖の供給が2分子のMGDG間で行われる場合とUDP-ガラクトースが用いられる場合の2つのケースがあると考えられていたが, DGD1, DGD2はいずれも糖の供与体としてUDP-ガラクトースを用いることが示されている。2分子のMGDGからDGDGとジアシルグリセロールを合成する酵素をコードする遺伝子は,凍結耐性にかかわるとして報告されていたSFR2 (SENSITIVE TO FREEZING 2)遺伝子であることが判明した.高等植物ではDGDGがリン欠乏時にプラスチド外にも蓄積し,リン脂質の代替膜脂質として機能していると考えられている.

DGDG.png

添付ファイル: fileDGDG.png 3154件 [詳細]

トップ   編集 凍結解除 差分 履歴 添付 複製 名前変更 リロード   新規 一覧 検索 最終更新   ヘルプ   最終更新のRSS
Last-modified: 2020-05-12 (火) 04:46:19