バクテリオクロロフィルb[bacteriochlorophyll b]

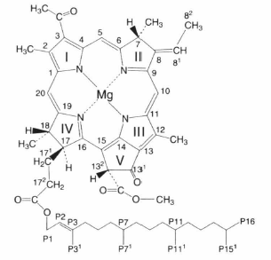
 紅色細菌RhodopseudomonasThiocapsa属の数種に存在するクロロフィル.環Ⅱ(B環とも呼ばれる)にエチリデン基をもつ.C55H72N4O6Mg,分子量909.50.集光性および反応中心のクロロフィルとして機能.光や酸素に対して非常に不安定.環Ⅱの異性化によりクロリンに転化し緑となる.溶液の色は淡青紫.ジエチルエーテル中での吸収波長(分子吸光係数:M-1cm-1)は371 nm (7.72×104),406 nm (7.13×104), 796 nm (1.06×105). 酸化還元電位Ered= - 0.70 V vs. NHE(DMF).

bacteriochlorophyll b.png

関連項目


添付ファイル: filebacteriochlorophyll b.png 3800件 [詳細]

トップ   編集 凍結解除 差分 履歴 添付 複製 名前変更 リロード   新規 一覧 検索 最終更新   ヘルプ   最終更新のRSS
Last-modified: 2020-05-12 (火) 04:44:10