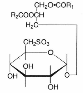
スルホキノボシルジアシルグリセロール[sulfoquinovosyldiacylglycerol (SQDG)]

  極性部分にスルホキノボースと呼ばれる硫黄を含む糖をもつ硫脂質の一種. SQDGと略すことが多い.光合成を行う微生物や高等植物に広く存在する.高等植物ではモノガラクトシルジアシルグリセロール(MGDG)やジガラクトシルジアシルグリセロール(DGDG)のガラクト脂質と同様,プラスチドに特徴的な糖脂質であり,プラスチド以外には見いだされない.ホスファチジルグリセロール(PG)とともに葉緑体膜に負電荷を付与するために重要な酸性膜脂質である.葉緑体のチラコイド膜では全脂質中10%程度を占め,主要脂質の一つとなっている.高等植物の場合, SQDGはUDP-スルホキノボースとジアシルグリセロールを基質としSQDG合成酵素(UDP-スルホキノボース:1,2-ジアシルグリセロールスルホキノボシルトランスフェラーゼ)により合成される.生合成はMGDG合成やDGDG合成と同様,葉緑体包膜で行われると考えられている.光合成細菌の一種であるRhodobacter sphaeroidesやシアノバクテリア,高等植物などで生合成に関わる遺伝子がすでに単離されている.高等植物でSQDGの合成を欠いた変異体は,通常の生育条件では表現型にほとんど変化はみられないが,リン欠乏条件で生育が悪くなることが知られている.

SQDG.png

添付ファイル: fileSQDG.png 2845件 [詳細] filelipid alkoxyl radical.png 1352件 [詳細]

トップ   編集 凍結解除 差分 履歴 添付 複製 名前変更 リロード   新規 一覧 検索 最終更新   ヘルプ   最終更新のRSS
Last-modified: 2020-05-12 (火) 04:45:37