励起エネルギー移動[excitation-energy transfer,EET]

 電子励起状態が供与体分子Aから受容体分子Bに移る現象をいい, EETと略称される.両分子間にまたがる電子間クーロン相互作用によりひき起こされ,量子力学行列要素は

EET-1.png

 である.δMはスピン一重項状態では1,三重項状態では0となる. f(gA,eB;eA,gB)とf(eB,gA; eA,gB)はそれぞれ交換およびクーロン積分の非対角項となっている.両分子のHOMO (highest occupiedmolecular orbital)波動関数をそれぞれΨA(r)およびΨB(r), LUMO (lowest unoccupied molecular orbital)波動関数をそれぞれφA(r)およびφB(r)とする.(縮退があったとしても適当な一次結合により)これらをすべて実関数に採る.このとき

EET-2.png

 となる.ここで, dr=dxdydzで,qは電子電荷,εは周りの媒質の静誘電率である.
 HOMO-LUMO間エネルギー差は各分子の励起エネルギーで,EAおよびEBとする.分子Aのみが励起されている状態をケットベクトル|A>で表す.同様に|B>を導入する.これらの間に式(1)の相互作用Jが働くので,量子力学に従うと各分子の励起エネルギーは

EET-3.png

 だけ反発する方向にシフトする.しかし実際には,,EAおよびEBともに分布しており,また電子が媒質歪み振動(フォノン)と相互作用するため, |A>と|B>の波動関数の位相は時間とともに統計的に乱れていく.位相が乱れる時間より早く両者間の量子力学的結合が形成されない限り,ΔEだけのエネルギーシフトは観測されない.この時間を位相緩和時間といい,|A>と|B>で同じにτとする.不確定性原理から,hE.pngは|A>と|B>が互いに量子力学的に結合する(すなわち,コヒーレンスを形成する)に要する最少時間である.
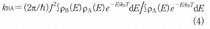
 Eh.pngのとき,式(1)のEET相互作用Jが非常に弱いため,|A>と|B>が量子力学的に結合するより速く位相が乱れる.このとき|A>・|B>間のEETはインコヒーレンな遷移による過程として起こる.Jに関する二次の摂動計算(すなわちフェルミ黄金則)により,励起が分子AからBに飛び移る単位時間当たりの回数(すなわち遷移確率)を求めることができ

EET-4.png

 である.ρA(E)とρB(E)はそれぞれ|A>と|B>の状態密度関数で,ともに積分が1に規格化されている.逆過程の遷移確率kABはAとBを入れ換えて得られる.両者間には化学平衡の法則

EET-5.png

 が成立する.ここでΔGBAは|A>から測った|B>における自由エネルギーである.
 時刻ゼロに分子Aのみ励起されているとき,後の時刻tにおいて励起が分子Bに移っている確率は

EET-6.png

 であり,時間とともに指数関数の形で単調に率kBA+kABで熱平衡値

EET-7.png

 
  に近づく.
 Eh.pngのときには,式(1)のEET相互作用Jが非常に強いため,位相が乱れるより速く|A>と|B>間の量子力学的結合が達成され,両分子上に広がった励起状態が2つできる.固有エネルギーの大きい順に|A>cosθ+|B> sinθと-|A>sinθ+|B>cosθである.ここでθは,

EET-8.png

 により決まる.式(6)に当たる量は,

EET-9.png

  となり,t2に比例して立ち上がるので遷移確率過程にはなっていない.実際,励起は分子間を行きつ戻りつ振動する.これをフェルミ共鳴という.τ程度のずっと長い時間経つと,位相が乱れてきて,B(t)は減衰振動しながら最終的に熱平衡値
 

EET-10.png

 に近づく.他方,前の場合では,初期時間においてB(t)が(kBA+kAB)tの形でtに比例して立ち上がる.
 さらに拡張し,複数個の分子励起状態間に強いEET相互作用が存在するとき,それらの一次結合により記述される分子集合体全体の励起状態ができる.その素励起を励起子という.

関連項目


添付ファイル: fileEh.png 2420件 [詳細] filehE.png 2614件 [詳細] fileEET-8.png 2364件 [詳細] fileEET-9.png 2417件 [詳細] fileEET-4.png 2687件 [詳細] fileEET-5.png 2426件 [詳細] fileEET-6.png 2451件 [詳細] fileEET-7.png 2537件 [詳細] fileEET-1.png 2524件 [詳細] fileEET-10.png 2411件 [詳細] fileEET-2.png 2492件 [詳細] fileEET-3.png 2411件 [詳細]

トップ   編集 凍結解除 差分 履歴 添付 複製 名前変更 リロード   新規 一覧 検索 最終更新   ヘルプ   最終更新のRSS
Last-modified: 2020-05-12 (火) 04:45:24