ADP

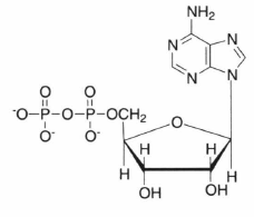
 ADP アデノシン5'-二リン酸(adenosine 5'-di-phosphate)の略称.リン酸と結合することでATPを生じるが,この反応は吸エルゴン反応(標準自由エネルギー変化:+ 30.5kJ mol-1)であり,何らかのエネルギーの供給がないと起こらない.ADPは, ATPがATPaseの働きによって分解されたときに生じるほか,アデニレートキナーゼによってATPとAMPからも生じる.真核細胞内の主なATPの供給源は,ミトコンドリアと葉緑体である.ミトコンドリアでつくられたATPがマトリックス外に運ばれるときには,ATP/ADP交換輸送体によりADPがATPに対して対向輸送される.

ADP.png

関連項目


添付ファイル: fileADP.png 2949件 [詳細]

トップ   編集 凍結解除 差分 履歴 添付 複製 名前変更 リロード   新規 一覧 検索 最終更新   ヘルプ   最終更新のRSS
Last-modified: 2020-05-12 (火) 04:43:14