フィコエリスロビリン[phycoerythrobilin]

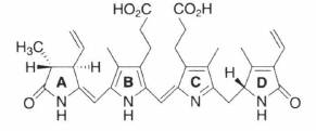
 フィコエリスリンのα,β,γサブユニットのほか,R-フィコシアニンのα, βサブユニットに存在する発色団である.開環テトラピロール構造をもち,A環あるいはA環とD環の両方を介して特定のシステイン残基と共有結合している.共役二重結合の長さは6個で, 530~570 nm の光を吸収する.

phycoerythrobilin.png

添付ファイル: filephycoerythrobilin.png 3030件 [詳細]

トップ   編集 凍結解除 差分 履歴 添付 複製 名前変更 リロード   新規 一覧 検索 最終更新   ヘルプ   最終更新のRSS
Last-modified: 2020-05-12 (火) 04:45:36