デクスター型励起移動[Dexter-type excitationtransfer]

  スピン三重項電子励起状態が2分子間を移動する現象をいう.これをひき起こす相互作用の量子力学行列要素Jは,励起エネルギー移動の項目における式(1)でδM=0とおいて得られる.両分子をAとBとし,同じ項目式(3)の積分により,Jは,それらのHOMO (highest occupied molecularorbital)波動(実)関数[それぞれΨA(r)およびΨB(r)],およびLUMO (lowest unoccupied molecular orbital)波動(実)関数[それぞれφA(r)およびφB(r)]により

Dexter1.png

となる.ここで,dr= dxdydzで,qは電子電荷,εは周りの媒質の静誘電率である.
 スピン三重項励起が分子AからBに移動するためには,AのLUMOに上かっている電子とHOMOに残されている空孔がともにBのそれぞれLUMOとHOMOに移動しなければならないことを式(1)は示す.それらの波動関数φA(r)とΨA(r)およびφB(r)とΨB(r)は両分子の位置ベクトルそれぞれRAおよびRBを中心に指数関数的に空間減衰する.ΨA(r)およびΨB(r)の空間減衰率のうちの小さいほうをαとし,φA (r)およびφB(r)の空間減衰率のうちの小さいほうをβとする.このとき式(1)の積分はexp[-(α+β)R]に従いR=|RA-RB|とともに減衰する.
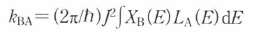
 通常はRが分子サイズより十分大きいので, (α+β)R≫1であり,式(1)のJは小さく,「励起エネルギー移動」の項目でそれがインコヒーレントな遷移により起こる場合となる.分子AからBへの遷移確率kBAは同項目の式(4)である.三重項励起では,ρB(E)はBの三重項状態密度関数XB(E)で,アインシュタインの関係より

Dexter2.png

はAの当該リン光スペクトルLA(E)であり,ともに積分が1に規格化されている.したがって,

Dexter3.png

となる.デクスター公式である.時刻ゼロに分子Aのみ励起されていて,後の時刻tにおいて励起が分子Bに移っている確率は同項目式(6)である.

関連項目


添付ファイル: fileDexter2.png 2260件 [詳細] fileDexter3.png 2184件 [詳細] fileDexter1.png 2298件 [詳細]

トップ   編集 凍結解除 差分 履歴 添付 複製 名前変更 リロード   新規 一覧 検索 最終更新   ヘルプ   最終更新のRSS
Last-modified: 2020-05-12 (火) 04:45:50