フランク-コンドン因子[Franck-Condon factor]

 電子や励起の移動に際し,それらが量子力学的トンネル効果により空間位置を変えるに伴い,原子系も緩和し,平均位置を少し変える.電子系の移動の遷移確率の表式において原子系の平均位置変化に起因する因子をフランク-コンドン因子という.電子系の移動をひき起こす相互作用の量子力学行列要素をJとし,フェルミの黄金則に従い遷移確率を2h.pngJ2F(-ΔG)と書くとき,F(-ΔG)のことである. ΔGは反応の自由エネルギー変化である.F(-ΔG)をE=-ΔGの関数と考えると,F(E)はE積分が1に規格化された遷移の終状態密度関数である.反応に伴う原子系の再配置エネルギーが,割合小さい平均エネルギー量子hw.pngの媒質振動からの寄与shw.pngと割合大きい平均エネルギー量子hw2.pngの分子内振動からの寄与shw2.pngの和と見なしうるとき,

Franck-Condon1.png

 となる.ここで,T'は平均振幅で計った媒質振動の有効温度で,

Franck-Condon2.png

 により与えられる.ここで,Tは絶対温度である.

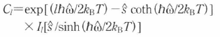
Franck-Condon3.png

 で,Il(x)は第l次変形ベッセル関数である.s.pngおよびs2.pngはそれぞれ外殻および内殻再配置に伴うホァン・リー因子と呼ばれる.
 励起移動が起こる2分子は分子サイズに比べ通常十分離れている場合,励起が供与体分子Aにあるときと受容体分子Bに移った後とでは相互作用するフォノンは異なると見なしうる.このとき,デクスター型およびフェルスター型励起移動の項目に示すように,AからBへの遷移に伴う当該因子は

Franck-Condon4.png

 である.それぞれ三重項および一重項電子励起状態に関し,LA(E)はAの発光スペクトル,XB(E)はBの光吸収スペクトルで,ともに積分が1に規格化されている.このとき外殻と内殻ホアン・リー因子および再配置エネルギーを各分子別々に導入でき,それぞれbun1.pngbun2.pngとする.これらよりFA(E)とFB(E)を定義するとき,LA(E)=FA(-E)およびXB(E)=FB(EG)である.上記E積分を実行すると当該因子は以下となる.

Franck-Condon5.png

 ここで,D.pngである.

関連項目


添付ファイル: fileD.png 2592件 [詳細] filebun2.png 2583件 [詳細] filebun1.png 2561件 [詳細] files2.png 2690件 [詳細] files.png 2670件 [詳細] fileshw2.png 2611件 [詳細] filehw2.png 2738件 [詳細] fileshw.png 2608件 [詳細] filehw.png 2665件 [詳細] file2h.png 2635件 [詳細] fileFranck-Condon3.png 2759件 [詳細] fileFranck-Condon4.png 2782件 [詳細] fileFranck-Condon5.png 2764件 [詳細] fileFranck-Condon1.png 2618件 [詳細] fileFranck-Condon2.png 2478件 [詳細]

トップ   編集 凍結解除 差分 履歴 添付 複製 名前変更 リロード   新規 一覧 検索 最終更新   ヘルプ   最終更新のRSS
Last-modified: 2020-05-12 (火) 04:45:28