ネオキサンチン[neoxanthin]

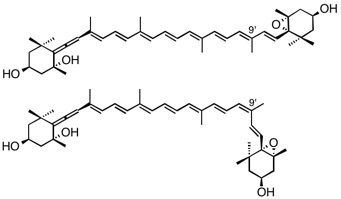
 カロテノイドの一種.陸上植物,一部の緑藻類では主成分である.特徴的なアレン基(>C=C=C<)はネオキサンチンとその誘導体にのみ存在し,他の生体物質にはない構造である.葉緑体に存在するものはすべて9'-シス型であるが,花弁など他の組織には全トランス型もある.9'-シス型の吸収スペクトルは全トランス型に比べて5 nmくらい短波長シフトしているが,他の分光学的な性質に差異はない.ビオラキサンチンからネオキサンチン合成酵素(NSY)により合成されるが,すべて9'-シス型であるので9-シス異性化酵素も関与していると考えられている.9-シス-エポキシカロテノイド・ジオキシゲナーゼ(NCED)によりアブシジン酸の前駆体のシス・キサントキシンに変わる.陸上植物ではLHCIIに1分子結合しており,複合体形成に関与している.

234 neoxanthin.jpg

関連項目


添付ファイル: file234 neoxanthin.jpg 3994件 [詳細]

トップ   編集 凍結解除 差分 履歴 添付 複製 名前変更 リロード   新規 一覧 検索 最終更新   ヘルプ   最終更新のRSS
Last-modified: 2020-05-12 (火) 04:44:37