バクテリオクロロフィルa[bacteriochlorophyll a]

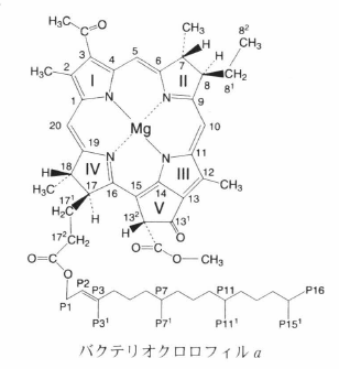
 紅色細菌緑色光合成細菌に存在するクロロフィル.長鎖アルコールはフィトールが一般的であるが,ゲラニルゲラニオールやファルネソールなどもある.C55H74N4O6Mg,分子量911.52.溶液の色は淡青紫.ジエチルエーテル中での吸収波長(分子吸光係数:M-1cm-1)は357 nm (7.29×104), 574nm (2.16×104), 771 nm (9.70×104)で,蛍光波長(量子収率)は782 nm (0.19). 酸化還元電位(Vvs. NHE)はEred=-0.83, Eox=+0.76 (THF).

bacteriochlorophyll a.png

関連項目


添付ファイル: filebacteriochlorophyll a.png 4589件 [詳細]

トップ   編集 凍結解除 差分 履歴 添付 複製 名前変更 リロード   新規 一覧 検索 最終更新   ヘルプ   最終更新のRSS
Last-modified: 2020-05-12 (火) 04:42:57